09:25:52 pm Ngày 26 Tháng Tư, 2025 *
Diễn đàn đã ngưng hoạt động và vào chế độ lưu trữ.
Mời tham gia và trao đổi trên nhóm Facebook >> TẠI ĐÂY <<
  Trang chủ Diễn đàn  

Một người cận thị về già, khi đọc sách đặt cách mắt 25 cm phải đeo kính số 2. Khoảng thấy rõ ngắn nhất của người đó là
Cường độ âm tại một điểm tăng lên gấp bao nhiêu lần nếu mức cường độ âm tại đó tăng thêm 2 dB ?
Giới hạn quang điện của đồng là 0,30 μm . Trong chân không, chiếu một chùm bức xạ đơn sắc có bước sóng λ vào bề mặt tấm đồng. Hiện tượng quang điện không xảy ra nếu λ có giá trị là
Sóng cơ học ngang truyền được trong các môi trường
Phôtôn phát ra khi electron trong nguyên tử hiđrô chuyển từ quỹ đạo O về quỹ đạo M là phôtôn thuộc loại nào?


Trả lời

BOX ĐỀ THI - THI THỬ.

Trang: 1   Xuống
  In  
Tác giả Chủ đề: BOX ĐỀ THI - THI THỬ.  (Đọc 27569 lần)
0 Thành viên và 0 Khách đang xem chủ đề.
Alexman113
Lão làng
*****

Nhận xét: +26/-9
Cảm ơn
-Đã cảm ơn: 229
-Được cảm ơn: 270

Offline Offline

Bài viết: 551


KK09XI


Email
« vào lúc: 03:10:45 pm Ngày 16 Tháng Sáu, 2012 »

BOX ĐỀ THI - ĐỀ THI THỬ  

Đây chỉ là nơi post các đề thi và đề thi thử, mọi người lưu ý KHÔNG THẢO LUẬN Ở ĐÂY.
« Sửa lần cuối: 11:30:37 pm Ngày 06 Tháng Bảy, 2012 gửi bởi Alexman113 »

Logged



KK09XI ~ Nothing fails like succcess ~
Alexman113
Lão làng
*****

Nhận xét: +26/-9
Cảm ơn
-Đã cảm ơn: 229
-Được cảm ơn: 270

Offline Offline

Bài viết: 551


KK09XI


Email
« Trả lời #1 vào lúc: 03:15:52 pm Ngày 16 Tháng Sáu, 2012 »

TRƯỜNG THPT CHUYÊN THÁI BÌNH
ĐỀ KHẢO SÁT CHẤT LƯỢNG LỚP 12 LẦN THỨ 5
NĂM 2012
Môn: TOÁN KHỐI A
Thời gian làm bài: 180 phút

I. PHẦN CHUNG CHO TẤT CẢ THÍ SINH (7,0 điểm)

Câu I (2 điểm):Cho hàm số [TEX]y={{x}^{3}}-3{{x}^{2}}+2[/TEX] có đồ thị là [TEX](C)[/TEX].
            1) Khảo sát sự biến thiên và vẽ đồ thị [TEX](C)[/TEX] của hàm số.
            2)Tìm m để đường thẳng [TEX]y=m(x-1)[/TEX] và cắt [TEX](C) [/TEX] tại ba điểm phân biệt [TEX]E(1,0) , A, B[/TEX] sao cho diện tích tam giác [TEX]OAB[/TEX] bằng[TEX]\sqrt{2}[/TEX]. (O là gốc toạ độ).

Câu II (2 điểm):
            1)Giải phương trình. [TEX]\frac{1-\cos 2x}{1+\cos x}+{{\tan }^{2}}x=2(1-\frac{1}{\cos x})[/TEX]
            2)Giải hệ phương trình. [tex]\begin{cases}1+\sqrt{x+y+1}=4{{(x+y)}^{2}}+\sqrt{3(x+y)} \\ {{\log }_{4}}{{\left( 3x+2y \right)}^{2}}+{{\log }_{\sqrt{2}}}\sqrt{x+1}=4 \\ \end{cases}[/tex]

Câu III: (1 điểm): Tính tích phân . [TEX]\int\limits_{2}^{5}{\frac{{{x}^{2}}+2x\sqrt{x-1}}{1+\sqrt{x-1}}}.dx[/TEX]

Câu IV: (1 điểm). Cho hình chóp [TEX]SABCD[/TEX] có đáy là hình thoi tâm O có cạnh [TEX]AB = a\sqrt{5},AC = 4a ,SO =2\sqrt{2}a[/TEX]  
và [TEX]SO [/TEX]vuông góc với đáy. Gọi [TEX]M[/TEX]  là trung điểm của cạnh [TEX]SC[/TEX]  . Tính thể tích hình chóp [TEX]SOMB[/TEX] và khoảng cách giữa hai đường thẳng [TEX]SA[/TEX] và [TEX]BM.[/TEX]

Câu V: (1 điểm).Cho [TEX]x,y,z[/TEX] là ba số thực thay đổi .Tìm giá trị lớn nhất và giá trị nhỏ nhất của biểu thức.
[TEX]P=\frac{x+2y+3z}{\sqrt{{{x}^{4}}+1}+\sqrt{{{y}^{4}}+16}+\sqrt{{{z}^{4}}+81}}[/TEX]

II. PHẦN RIÊNG (3 điểm)(Thí sinh chỉ được chọn một trong hai phần A hoặc B)
Phần A.
Câu VIa: (2 điểm) .

            1)Trong mặt phẳng với hệ trục toạ độ [TEX]Oxy[/TEX] .Cho tam giác [TEX]ABC[/TEX] vuông tại A, phương trình đường thẳng [TEX]BC[/TEX] là [TEX]4x-3y-4 = 0[/TEX]. Các đỉnh [TEX]A, B[/TEX] thuộc trục hoành và diện tích tam giác [TEX]ABC[/TEX] bằng [TEX]6[/TEX] . Tìm toạ độ trọng tâm [TEX]G[/TEX] của tam giác [TEX]ABC.[/TEX]
            2)Trong không gian với hệ trục toạ độ [TEX]Oxyz[/TEX] cho đường thẳng có phương trình:[TEX]\frac{x}{2}=\frac{y+1}{-2}=\frac{z-1}{-1}[/TEX],đường thẳng[TEX]{{\Delta }_{1}}: \frac{x-1}{1}=\frac{y+1}{-2}=\frac{z}{1}[/TEX].Lập phương trình đường thẳng [TEX](d)[/TEX] đi qua gốc toạ độ O vuông góc với [TEX]{{\Delta }_{1}}[/TEX] và cách một khoảng lớn nhất.

CâuVIIa: (1 điểm) .Tìm số phức [TEX]z[/TEX] thoả mãn : [TEX]\left| z-1 \right|=5[/TEX] và [TEX]17(z+ \bar{z})=5z \bar{z}.[/TEX]

Phần B.
CâuVIb: (2 điểm).
              1)Cho Parabol có phương trình [TEX]{{y}^{2}}=16x[/TEX], đường thẳng đi qua tiêu điểm [TEX]F[/TEX] cắt Parabol tại hai điểm [TEX]M[/TEX] và [TEX]N[/TEX] .Tìm toạ độ [TEX]M,N[/TEX] sao cho tích số đạt giá trị nhỏ nhất .
              2)Trong không gian với hệ trục toạ độ [TEX]Oxyz[/TEX] cho [TEX](P)[/TEX]: và điểm [TEX]A(0,0,1)[/TEX]. Viết phương trình mặt cầu tiếp xúc với [TEX](P)[/TEX] tại [TEX]A[/TEX] và tiếp xúc với mặt phẳng [TEX]Oxy.[/TEX]

CâuVIIb : (1 điểm).Trong các acgumen của số phức [TEX]{{\left( 1-\sqrt{3}i \right)}^{8}}[/TEX],tìm acgumen có số đo dương nhỏ nhất.
--------------------------------Hết------------------------------

TẢI VỀ TẠI ĐÂY


Logged

KK09XI ~ Nothing fails like succcess ~
Alexman113
Lão làng
*****

Nhận xét: +26/-9
Cảm ơn
-Đã cảm ơn: 229
-Được cảm ơn: 270

Offline Offline

Bài viết: 551


KK09XI


Email
« Trả lời #2 vào lúc: 03:23:40 pm Ngày 16 Tháng Sáu, 2012 »

ĐỀ THI THỬ ĐẠI HỌC LẦN 5 NĂM 2012 - THPT CHUYÊN ĐẠI HỌC SƯ PHẠM HÀ NỘI
Môn: TOÁN;
Thời gian làm bài: 180 phút

Câu 1: Cho hàm số [TEX]y=\frac{2x+1}{x-1}[/TEX]

a) Khảo sát sự biến thiên và vẽ đồ thị [TEX](C)[/TEX] của hàm số

b) Viết phương trình tiếp tuyến của đồ thị [TEX](C)[/TEX] biết tiếp tuyến tạo với hai đường tiệm cận của [TEX](C)[/TEX] một tam giác vuông cân.

Câu 2:

a) Giải phương trình: [TEX]1+\sin x+\cos x=2\cos\left(\frac{x}{2}-\frac{\pi}{4} \right)[/TEX]

b) Giải phương trình: [TEX]\sqrt{3x^2-7x+3}-\sqrt{x^2-2}=\sqrt{3x^2-5x-1}-\sqrt{x^2-3x+4}[/TEX]
Câu 3:
Tính tích phân [TEX]I=\int_{0}^{\frac{\pi}{6}}\frac{\sin 3x}{{\cos}^{2}x} \text{d}x.[/TEX]

Câu 4:
Cho lăng trụ [TEX]ABC.A'B'C'[/TEX] có các mặt bên là các hình vuông cạnh bằng [TEX]a[/TEX]. Gọi [TEX]D, E,F[/TEX] lần lượt là trung điểm các cạnh [TEX]BC,A'C',B'C'[/TEX]. Tính khoảng cách giữa hai đường thẳng [TEX]DE[/TEX] [TEX]A'F[/TEX] theo [TEX]a[/TEX].

Câu 5:
Cho các số thực dương [TEX]a, b, c[/TEX] thoả mãn đồng thời [TEX]abc=1[/TEX] [TEX]\frac{1}{a}+\frac{1}{b}+\frac{1}{c}\geq a+b+c.[/TEX]. Chứng minh rằng:
[TEX]\frac{1}{a^3}+\frac{1}{b^3}+\frac{1}{c^3}\geq a^3+b^3+c^3[/TEX]

Câu 6:

a) Trong mặt phẳng [TEX]Oxy[/TEX] cho tam giác [TEX]ABC[/TEX] với đường cao [TEX]AH[/TEX] có phương trình [TEX]3x+4y+10=0[/TEX] và đường phân giác trong [TEX]BE[/TEX] có phương trình [TEX]x-y+1=0[/TEX]. Điểm [TEX]M(0;-2)[/TEX] thuộc đường thẳng [TEX]AB[/TEX] và cách đỉnh [TEX]C[/TEX] một khoảng bằng [TEX]\sqrt2[/TEX]. Tính diện tích tam giác [TEX]ABC[/TEX].

b) Trong không gian [TEX]Oxyz[/TEX] cho mặt phẳng và đường thẳng lần lượt có phương trình: [TEX](P): x+2y-z+5=0[/TEX] [TEX](d):\frac{x+1}{2}=\frac{y+1}{1}=\frac{z-3}{1}[/TEX]. Viết phương trình mặt phẳng [TEX](Q)[/TEX] chứa[TEX]d[/TEX] và tạo với [TEX](P)[/TEX] một góc bằng [TEX]{30}^{\circ}[/TEX].

Câu 7:
Giải phương trình sau trên tập số phức: [TEX] z^4-4z^3+11z^2-14z+10=0[/TEX]

-----HẾT-----


Logged

KK09XI ~ Nothing fails like succcess ~
Alexman113
Lão làng
*****

Nhận xét: +26/-9
Cảm ơn
-Đã cảm ơn: 229
-Được cảm ơn: 270

Offline Offline

Bài viết: 551


KK09XI


Email
« Trả lời #3 vào lúc: 03:25:48 pm Ngày 16 Tháng Sáu, 2012 »

Đề thi thử đại học A1k11 THPT Trung Giã
Câu 1. Cho hàm số [TEX]y = \dfrac{3x- 4}{4x + 3}\quad (C)[/TEX]
1. Khảo sát sự biến thiên và vẽ đồ thị [TEX](C)[/TEX]
2. Viết phương trình các tiếp tuyến tại các điểm [TEX]A[/TEX] thuộc [TEX](C)[/TEX] biết tiếp tuyến cắt trục hoành tại [TEX]B[/TEX] sao cho tam giác [TEX]OAB[/TEX] cân tại [TEX]A[/TEX]

Câu 2.
1. Giải hệ phương trình: [TEX]\begin{cases} x^4 -3\sqrt{y}=3x+y \\ x\sqrt{y}(y-1)=3(x+\sqrt{y}) \end{cases}[/TEX]

2. Giải phương trình: [TEX]\dfrac{\sin x + \cos x}{\cos 5x} = \dfrac{2}{\cot x - 3}[/TEX]

Câu 3. Tính tích phân: [TEX]\displaystyle\int_0^{\frac{\pi}{2}} \dfrac{\cos2x}{5\cos x + 3}dx[/TEX]

Câu 4.
Cho hình chóp [TEX]S.ABCD[/TEX] có đáy [TEX]ABCD[/TEX] là hình bình hành, [TEX]BC = a[/TEX] và [TEX]\widehat{ABC}=120^0 [/TEX] . Mặt bên [TEX]SAB[/TEX] là tam giác đều cạnh [TEX]2a[/TEX] và tạo với mặt đáy góc [TEX]\alpha[/TEX]. Biết hình chiếu vuông góc của [TEX]S[/TEX] trên mặt đáy nằm trong hình bình hành [TEX]ABCD[/TEX] và [TEX]\cos\alpha = \dfrac{1}{3}[/TEX] . Tính thể tích khối chóp [TEX]S.ABCD[/TEX] cùng khoảng cách giữa [TEX]2[/TEX] đường thẳng [TEX]SB[/TEX] và [TEX]AD[/TEX] theo [TEX]a[/TEX].

Câu 5. Cho các số thực [TEX]a, b, c \in [ 1; 3][/TEX]. Tìm giá trị lớn nhất của biểu thức: [TEX]P = a^3 + b^3 + c^3 - 13abc[/TEX]

Câu 6.
1. Trong mặt phẳng [TEX]Oxy[/TEX], cho hình bình hành [TEX]ABCD[/TEX] có [TEX]A(2; 1)[/TEX], đường chéo [TEX]BD[/TEX] có phương trình [TEX]x + 2y + 1 = 0[/TEX]. Điểm [TEX]M[/TEX] nằm trên đường thẳng [TEX]AD[/TEX] sao cho [TEX]AM = AC[/TEX]. Đường thẳng [TEX]MC[/TEX] có phương trình [TEX]x + y – 1 = 0[/TEX]. Tìm tọa độ các đỉnh còn lại của hình bình hành [TEX]ABCD[/TEX].

2. Trong không gian với hệ tọa độ [TEX]Oxyz[/TEX], cho mặt cầu [TEX](S) : x^2 + y^2 + z^2–4x–4y– 4z=0[/TEX] và điểm [TEX]A (4; 4; 0)[/TEX]. Viết phương trình mặt phẳng [TEX](OAB)[/TEX], biết điểm [TEX]B[/TEX] thuộc [TEX](S)[/TEX] và tam giác [TEX]OAB[/TEX] đều.

Câu 7. Tìm số phức [TEX]z[/TEX] thỏa mãn: [TEX]z^3 + |z^2| = 1 - i[/TEX]

-----Hết-----


Logged

KK09XI ~ Nothing fails like succcess ~
Alexman113
Lão làng
*****

Nhận xét: +26/-9
Cảm ơn
-Đã cảm ơn: 229
-Được cảm ơn: 270

Offline Offline

Bài viết: 551


KK09XI


Email
« Trả lời #4 vào lúc: 03:27:44 pm Ngày 16 Tháng Sáu, 2012 »

Đề thi thử Đại học trường Chuyên Hưng Yên.
PHẦN CHUNG CHO TẤT CẢ THÍ SINH (7,0 điểm)
Câu I (2,0 điểm) Cho hàm số [TEX]y={{x}^{3}}-3x+2[/TEX].
1. Khảo sát sự biến thiên và vẽ đồ thị (C) của hàm số.
2. Tìm  các điểm M thuộc (C) sao cho tiếp tuyến của (C) tại M cắt (C) tại điểm N thoả mãn [TEX]MN=2\sqrt{6}[/TEX].
Câu II (2,0 điểm)
1. Giải phương trình [TEX]2(1+\cos x)({{\cot }^{2}}x+1)=\frac{\sin x-1}{\cos x+\sin x}[/TEX].
2. Giải hệ phương trình   [TEX] \begin{cases}1-\frac{12}{y+3x} \right)\sqrt{x}=2 \\ 1+\frac{12}{y+3x} \right)\sqrt{y}=6 \end{cases} (x,y\in [/TEX]R).
Câu III (1,0 điểm) Tính tích phân [TEX]I=\int\limits_{\frac{\pi }{2}}^{\frac{3\pi }{4}}{\frac{{{\cot }^{2}}x+\cot x}{{{e}^{x}}}}dx[/TEX].
Câu IV (1,0 điểm) Cho hình chóp tam giác S.ABC có đáy  ABC là tam giác vuông cân tại A, AB = a. Mặt bên (SBC) vuông góc với đáy, hai mặt bên còn lại cùng hợp với đáy góc [TEX]{{60}^{0}}[/TEX]. Tính thể tích khối chóp S.ABCD và bán kính mặt cầu ngoại tiếp hình chóp  S.ABC theo a.
Câu V (1,0 điểm) Cho [TEX]a,b,c\in \left( 0;1 \right][/TEX]. Chứng minh rằng [TEX]\dfrac{1}{a+3b}+\dfrac{1}{b+3c}+\dfrac{1}{c+3a} \ge \dfrac{3}{3+abc}[/TEX].

PHẦN RIÊNG (3,0 điểm): Thí sinh chỉ được làm một trong hai phần (phần A hoặc B)
A. Theo chương trình Chuẩn
Câu VI.a (2,0 điểm)
1. Trong mặt phẳng tọa độ Oxy, cho điểm M(2;5) và đường tròn [TEX](C):{{x}^{2}}+{{y}^{2}}-10x-2y-10=0[/TEX]. Viết phương trình đường thẳng [TEX](d)[/TEX] đi qua M cắt (C) tại hai điểm P, Q sao cho tiếp tuyến của (C) tại P, Q cắt nhau tại K  thỏa mãn [TEX]\widehat{PKQ}={{60}^{0}}.[/TEX]
2. Trong không gian với hệ tọa độ Oxyz, cho các điểm [TEX]A(0;\frac{5}{2};4)[/TEX], [TEX]B(2;6;\frac{1}{2})[/TEX], [TEX]C(2;1;0)[/TEX], [TEX]D(0;5;Cool[/TEX] và [TEX]E(-2;9;1)[/TEX]. Tìm tọa độ điểm M  trên đường thẳng DE  sao cho hai đường thẳng AB và CM cắt nhau.
Câu VII.a (1,0 điểm) Tìm số phức z có môđun nhỏ nhất biết [TEX](z+3-i)(\overline{z}+1+3i)[/TEX] là một số thực.
B. Theo chương trình Nâng cao
Câu VI.b (2,0 điểm)
1.Trong mặt phẳng tọa độ Oxy, cho [TEX]\Delta ABC[/TEX] cân tại A, biết [TEX]A(3;-3)[/TEX], hai đỉnh B, C  thuộc đường thẳng [TEX](d) : x-2y+1=0[/TEX] và điểm [TEX]E(3;0)[/TEX] nằm trên đường cao kẻ từ đỉnh [TEX]C[/TEX]. Tìm tọa độ hai đỉnh [TEX]B, C[/TEX].
2. Trong không gian với hệ tọa độ Oxyz, cho mặt phẳng [TEX](Q) : x+2y-2z+2=0[/TEX] và  đường thẳng [TEX](d)[/TEX] có phương trình [TEX](d):\dfrac{x-2}{1}=\dfrac{y}{-1}=\dfrac{z-2}{1}[/TEX]. Lập phương trình mặt phẳng (P) chứa đường thẳng [TEX](d)[/TEX] và tạo với mặt phẳng (Q) một góc [TEX]\alpha [/TEX] với [TEX]\sin \alpha =\sqrt{\frac{5}{6}}[/TEX]

Câu VII.b
(1,0 điểm) Cho số phức z thỏa mãn [TEX]\left| z \right|=1[/TEX] và [TEX]\left| z+\dfrac{i}{z} \right|=\sqrt{2}[/TEX]. Tính tổng: [TEX] S=1+{{z}^{2}}+{{z}^{4}}+{{z}^{6}}+\ldots +{{z}^{100}}[/TEX].
-----HẾT-----

TẢI VỀ TẠI ĐÂY
« Sửa lần cuối: 03:29:50 pm Ngày 16 Tháng Sáu, 2012 gửi bởi Alexman113 »

Logged

KK09XI ~ Nothing fails like succcess ~
Alexman113
Lão làng
*****

Nhận xét: +26/-9
Cảm ơn
-Đã cảm ơn: 229
-Được cảm ơn: 270

Offline Offline

Bài viết: 551


KK09XI


Email
« Trả lời #5 vào lúc: 03:34:29 pm Ngày 16 Tháng Sáu, 2012 »

THỬ SỨC TRƯỚC KÌ THI - THTT (SỐ 7-2012)

TẢI VỀ TẠI ĐÂY


Logged

KK09XI ~ Nothing fails like succcess ~
Alexman113
Lão làng
*****

Nhận xét: +26/-9
Cảm ơn
-Đã cảm ơn: 229
-Được cảm ơn: 270

Offline Offline

Bài viết: 551


KK09XI


Email
« Trả lời #6 vào lúc: 04:05:05 pm Ngày 16 Tháng Sáu, 2012 »

Đề thi thử ĐH môn Toán hay khó sát với cấu trúc đề ĐH

63 Đề thi thử ĐH 2011 có đáp án
31-de-thi-thu-2011-co-dap-an-New--www.MATHVN.com.rar
www.VNMATH.com-TUYEN CHON DE THI THU 2010-2011.rar
[MATHVN.COM] - Cac chu de LTDH - VAN-PHU-QUOC.rar


Logged

KK09XI ~ Nothing fails like succcess ~
Alexman113
Lão làng
*****

Nhận xét: +26/-9
Cảm ơn
-Đã cảm ơn: 229
-Được cảm ơn: 270

Offline Offline

Bài viết: 551


KK09XI


Email
« Trả lời #7 vào lúc: 02:11:07 pm Ngày 17 Tháng Sáu, 2012 »

ĐỀ THI THỬ ĐẠI HỌC LẦN 8 NĂM 2012 - THPT CHUYÊN ĐẠI HỌC SƯ PHẠM HÀ NỘI

Môn: TOÁN;
Thời gian làm bài: 180 phút

Câu 1. (2,0 điểm)

Cho hàm số [tex]y=\dfrac{2x-1}{x+1}[/tex]

1. Khảo sát sự biến thiên và vẽ đồ thị (C) của hàm số.
2. Tìm trên (C) những điểm có tổng khoảng cách đến 2 đường tiệm cận nhỏ nhất.

Câu 2. (1,0 điểm) Giải phương trình:
[tex]\small 4\sin x.\sin \left(\dfrac{\pi }{3}+x\right)\sin \left(\dfrac{\pi }{3}-x\right)+4\sqrt{3}.\cos x.\cos \left(\dfrac{2\pi }{3}+x\right).\cos \left(\dfrac{4\pi }{3}+x\right)=2[/tex]

Câu 3. (1,0 điểm) Giải phương trình:
[tex]2\left(x^2+2\right)=5\sqrt{x^3+1} \quad ( x \in \mathbb{R})[/tex]

Câu 4. (1,0 điểm) Tính tích phân:
[tex]I=\int_{\frac{\pi }{4}}^{\frac{\pi }{2}}\dfrac{\left(x-\dfrac{\pi }{4}\right)\left(1-\sin 2x\right)dx}{1+\sin 2x}[/tex]

Câu 5. (1,0 điểm) Hình chóp [tex]S.ABCD[/tex] có [tex]SA=a[/tex] là chiều cao của hình chóp, đáy [tex]ABCD[/tex] là hình thang vuông tại [tex]A[/tex] và [tex]B[/tex] có [tex]AB=BC=a[/tex] và [tex]AD=2a.[/tex] Gọi [tex]E[/tex] là trung điểm của cạnh [tex]AD.[/tex] Tính thể tích khối cầu ngoại tiếp hình chóp tứ diện [tex]S.CDE. [/tex]

Câu 6. (1,0 điểm) Tìm các giá trị nguyên của [tex]m[/tex] để hệ phương trình sau có nghiệm:
[tex]\begin{cases} x^2-4\left(2x-m^2-2m-2\right)=y\left(8-2x-y\right)\\ x^2-12x+40+y\left(y-2x+12\right)=4m\left(m+1\right) \end{cases}[/tex]

Câu 7. (1,0 điểm) Trong mặt phẳng [tex]Oxy,[/tex] hãy lập phương trình đường tròn ngoại tiếp tam giác [tex]ABC,[/tex] biết các đỉnh [tex]B(0;\,1), \,C(-2;\,1)[/tex] và trực tâm của tam giác là [tex]H(1;-2).[/tex]

Câu 8. (1,0 điểm) Trong không gian [tex]Oxyz[/tex] cho hai điểm [tex]A(4;\,2;\,2), \,B(0;\,0;\,7)[/tex] và đường thẳng [tex](d)[/tex] có phương trình: [tex]\dfrac{x-3}{-2}=\dfrac{y-6}{2}=\dfrac{z-1}{1}.[/tex] Tìm tọa độ điểm [tex]C[/tex] trên [tex](d)[/tex] để tam giác [tex]ABC[/tex] cân tại [tex]A.[/tex]

Câu 9. (1,0 điểm) Tìm tất cả các số phức [tex]z[/tex] sao cho: [tex]z^2=\mid \overline{z}^3 \mid.[/tex]

---HẾT---
« Sửa lần cuối: 02:17:21 pm Ngày 17 Tháng Sáu, 2012 gửi bởi Alexman113 »

Logged

KK09XI ~ Nothing fails like succcess ~
Alexman113
Lão làng
*****

Nhận xét: +26/-9
Cảm ơn
-Đã cảm ơn: 229
-Được cảm ơn: 270

Offline Offline

Bài viết: 551


KK09XI


Email
« Trả lời #8 vào lúc: 04:09:47 pm Ngày 17 Tháng Sáu, 2012 »

ĐỀ THI THỬ ĐẠI HỌC NĂM 2012 - DIỄN ĐÀN ONLUYENTOAN.VN

Môn: TOÁN; Lần 8
Ngày thi: 15/06/2012; Thời gian làm bài: 180 phút

PHẦN CHUNG CHO TẤT CẢ THÍ SINH (7.0 điểm)

Câu I. (2.0 điểm) Cho hàm số: [tex]y= -\dfrac{x^3}{3}-x^2+3x+4[/tex] có đồ thị [tex](C).[/tex]
   1. Khảo sát sự biến thiên và vẽ đồ thị [tex](C)[/tex] của hàm số.
   2. Tìm tất cả các giá trị thực của [tex]m[/tex] để đường thẳng [tex](\Delta)[/tex] đi qua [tex]A(0;\,4)[/tex], có hệ số góc [tex]m[/tex] cắt đồ thị [tex](C)[/tex] tại ba điểm phân biệt [tex]A,\,B,\,C[/tex] sao cho [tex]IB^2+IC^2=4S_{\Delta IBC}[/tex] với [tex]I \left( -\dfrac{3}{2} \ ; \ 4 + \dfrac{3\sqrt{5}}{2} \right)[/tex].
   (Kí hiệu [tex]S_{\Delta IBC}[/tex] là chỉ diện tích tam giác [tex]IBC[/tex]).

Câu II. (2.0 điểm)

   1. Giải phương trình lượng giác sau:
[tex]\sin x +\cos 2x + \cos 3x =4\cos \dfrac{x}{2} \cos  \left(x + \dfrac{\pi}{4} \right)[/tex]
   2. Tìm tất cả các nghiệm thực của hệ phương trình sau:
[tex]\begin{cases} x^2-xy+7x+y=8 \\ \sqrt{x} \left( \sqrt{x} - \sqrt{y} \right) = \left( \sqrt{x+1} - \sqrt{x-1} \right)^4 - 4 \end{cases}[/tex]

Câu III. (1.0 điểm) Tính tích phân:
[tex]I= \displaystyle \int_{0}^{\frac{\pi}{4}} \dfrac{\cos x \left(1 +2e^x \left(x+1 \right) -2\sin x \right)+xe^x}{\cos x \left(\cos x +xe^x \right)}dx.[/tex]


Câu IV. (1.0 điểm) Cho lăng trụ [tex]ABC.A'B'C'[/tex] có [tex]A'A=A'B,[/tex] đáy [tex]ABC[/tex] là một tam giác vuông tại [tex]B, \ BC =a, \ AB =a\sqrt{3}.[/tex] Mặt bên [tex](ACC'A')[/tex] vuông góc với đáy, góc tạo bởi mặt phẳng [tex](A'BC)[/tex] và [tex](ACC'A')[/tex] là [tex]\varphi[/tex] sao cho [tex]\tan \varphi =2.[/tex] Tính thể tích của khối chóp [tex]A'.BCC'B'[/tex] và khoảng cách giữa [tex]A'B[/tex] và [tex]B'C[/tex] theo [tex]a.[/tex]

Câu V. (1.0 điểm) Cho các số thực dương [tex]x, \ y, \ z[/tex] thỏa mãn điều kiện : [tex]4xy +2yz -zx=25.[/tex] Tìm giá trị nhỏ nhất của biểu thức:
[tex]P =\sqrt{\dfrac{x^2+4y^2}{z^2+4xy}} + \dfrac{2}{5} \sqrt{z^2+4xy}[/tex]

PHẦN RIÊNG (3.0 điểm): Thí sinh chỉ được làm một trong hai phần (phần A hoặc B)

A. Theo chương trình Chuẩn

Câu VI.a. (2.0 điểm)

   1. Trong mặt phẳng tọa độ [tex]Oxy[/tex] cho đường tròn [tex](C): (x-2)^2+(y-1)^2=8[/tex] và điểm [tex]A(0;\,3).[/tex] Lập phương trình đường tròn [tex](C')[/tex] đi qua [tex]A[/tex] có tâm nằm trên đường tròn [tex](C_1): (x-6)^2 + (y+1)^2=18[/tex] và cắt [tex](C)[/tex] theo một dây cung có độ dài lớn nhất.
   2. Trong không gian tọa độ [tex]Oxyz,[/tex] cho hình thoi [tex]ABCD[/tex] có đỉnh [tex]B[/tex] thuộc trục [tex]Ox,[/tex] đỉnh [tex]D[/tex] thuộc mặt phẳng [tex](Oyz)[/tex] và đường chéo [tex]AC[/tex] nằm trên đường thẳng [tex](d): \dfrac{x+3}{2} = \dfrac{y}{-1} = \dfrac{z}{1}.[/tex] Tìm tọa độ các đỉnh [tex]A,B,C,D[/tex] của hình thoi [tex]ABCD[/tex] biết diện tích hình thoi [tex]ABCD[/tex] bằng [tex]18\sqrt{2}[/tex] (đơn vị diện tích).

Câu VII.a. (1.0 điểm)Giải bất phương trình sau trên tập số thực:
[tex]\log_{5} \left(\sqrt{3x^2-8x+5} +25 \right) + \log_{7}\left(3x^2-8x+6 \right) \le 2[/tex]

B. Theo chương trình Nâng cao

Câu VI.b. (2.0 điểm)

   1. Trong mặt phẳng tọa độ [tex]Oxy,[/tex] cho hình bình hành [tex]ABCD[/tex] có tam giác [tex]ABD[/tex] vuông cân nội tiếp trong đường tròn [tex](C): (x-2)^2 + (y-1)^2=9.[/tex] Biết hình chiếu vuông góc của [tex]B,\,D[/tex] xuống đường chéo [tex]AC[/tex] lần lượt là [tex]H \left(\dfrac{22}{5}; \dfrac{14}{5} \right), \ K \left(\dfrac{13}{5}; \dfrac{11}{5} \right).[/tex] Hãy tìm tọa độ các đỉnh [tex]A,B,C,D[/tex] của hình bình hành [tex]ABCD[/tex] biết [tex]B,\,D[/tex] có tung độ dương và [tex]AD= 3\sqrt{2}.[/tex]

   2. Trong không gian tọa độ [tex]Oxyz,[/tex] cho đường thẳng [tex](d): \dfrac{x-4}{2} = \dfrac{y+3}{1} = \dfrac{z-2}{1}[/tex] và mặt phẳng [tex](P): x+2y-z -2=0.[/tex] Gọi [tex]A[/tex] là giao điểm của đường thẳng [tex](d)[/tex] và măt phẳng [tex](P).[/tex] Tìm điểm [tex]B[/tex] thuộc [tex](d),[/tex] điểm [tex]C[/tex] thuộc mặt phẳng [tex](P)[/tex] sao cho tam giác [tex]ABC[/tex] có [tex]AB=2BC=3 \sqrt{6}[/tex] và hoành độ điểm [tex]B[/tex] lớn hơn [tex]2.[/tex]

Câu VII.b. (1.0 điểm) Cho số phức [tex]z[/tex] có phần thực dương thỏa điều kiện [tex]z^3 -2 \overline{z}-16i=0.[/tex] Tính giá trị của biểu thức:
[tex]T= \left| \dfrac{\overline{z}^3 \left|z \right|^2}{z} +11 \overline{z}^2 -12 \right|[/tex]

---HẾT---

Tải về tại đây
« Sửa lần cuối: 04:19:09 pm Ngày 17 Tháng Sáu, 2012 gửi bởi Alexman113 »

Logged

KK09XI ~ Nothing fails like succcess ~
Alexman113
Lão làng
*****

Nhận xét: +26/-9
Cảm ơn
-Đã cảm ơn: 229
-Được cảm ơn: 270

Offline Offline

Bài viết: 551


KK09XI


Email
« Trả lời #9 vào lúc: 05:08:01 pm Ngày 05 Tháng Bảy, 2012 »

BỘ GIÁO DỤC VÀ ĐÀO TẠO                        ĐỀ THI TUYỂN SINH ĐẠI HỌC NĂM 2012
       _____________                                           Môn: TOÁN; Khối A và Khối A1
                                                    Thời gian làm bài: 180 phút, không kể thời gian phát đề
       ĐỀ CHÍNH THỨC


I. PHẦN CHUNG CHO TẤT CẢ THÍ SINH (7,0 điểm)
Câu 1 (2,0 điểm).Cho hàm số [tex]y=x^4 – 2(m + 1)x^2 + m^2,\,\,\, (1)[/tex] với [tex]m[/tex] là tham số thực.
   a) Khảo sát sự biến thiên và vẽ đồ thị hàm số [tex](1)[/tex] khi [tex]m = 0[/tex]
   b) Tìm [tex]m[/tex] để đồ thị hàm số [tex](1)[/tex] có ba điểm cực trị tạo thành ba đỉnh của một tam giác vuông.

Câu 2 (1,0 điểm). Giải phương trình [tex]\sqrt3 \sin 2x + \cos 2x = 2\cos x - 1[/tex].

Câu 3 (1,0 điểm). Giải hệ phương trình: [tex]\begin{cases}{x^3} - 3{x^2} - 9x + 22 = {y^3} + 3{y^2} - 9y \\ {x^2} + {y^2} - x + y = \frac{1}{2}\\ \end{cases}\,\,\,\,\,\,\,\left( {\,\forall x,y \in \mathbb{R}} \right)[/tex]

Câu 4 (1,0 điểm). Tính tích phân [tex]\int_{1}^{3}\frac{1+\ln(x+1)}{x^2}dx[/tex]

Câu 5 (1,0 điểm). Cho hình chóp [tex]S.ABC[/tex] có đáy là tam giác đều cạnh [tex]a[/tex]. Hình chiếu vuông góc của [tex]S[/tex] lên mặt phẳng [tex](ABC)[/tex] là điểm [tex]H[/tex] thuộc cạnh [tex]AB[/tex] sao cho [tex]HA = 2HB[/tex]. Góc giữa đường thẳng [tex]SC[/tex] và mặt phẳng [tex](ABC)[/tex] bằng [tex]60^o[/tex]. Tính thể tích khối chóp [tex]S.ABC[/tex] và tính khoảng cách giữa hai đường thẳng [tex]SA[/tex] và [tex]BC[/tex] theo [tex]a.[/tex]

Câu 6 (1,0 điểm). Cho các số thực [tex]x,\,y,\,z[/tex] thỏa mãn [tex]x+y+z=0[/tex]. Tìm giá trị nhỏ nhất của biểu thức:
[tex]P=3^{|x-y|}+3^{|y-z|}+3^{|z-x|}-\sqrt{6x^2+6y^2+6z^2}[/tex]

II. PHẦN RIÊNG (3,0 điểm) Thí sinh chỉ được làm một trong hai phần (phần A hoặc phần B).
A. Theo chương trình chuẩn
Câu 7.a (1,0 điểm). Trong mặt phẳng với hệ tọa độ [tex]Oxy[/tex], cho hình vuông [tex]ABCD[/tex] có [tex]M[/tex] là trung điểm [tex]BC[/tex], [tex]N[/tex] là điểm trên cạnh [tex]CD[/tex] sao cho [tex]CN=2ND[/tex]. Giả sử [tex]M\left ( \frac{11}{2};\frac{1}{2} \right )[/tex] và đường thẳng [tex]AN[/tex] có phương trình [tex]2x-y-3=0[/tex]. Tìm tọa độ điểm [tex]A.[/tex]

Câu 8.a (1,0 điểm) Trong không gian với hệ tọa độ [tex]Oxyz[/tex], cho đường thẳng [tex]d:\frac{x+1}{1}=\frac{y}{2}=\frac{z-2}{1}[/tex] và điểm [tex]I(0;0;3)[/tex]. Viết phương trình mặt cầu [tex]S[/tex] tâm [tex]I[/tex] và cắt [tex]d[/tex] tại hai điểm [tex]A,\,B[/tex] sao cho tam giác [tex]ABI[/tex] vuông tại [tex]I[/tex].

Câu 9.a (1,0 điểm). Cho [tex]n[/tex] là số nguyên dương thỏa mãn [tex]5C^{n-1}_n=C^3_n[/tex]. Tìm số hạng chứa [tex]x^5[/tex] trong khai triển nhị thức Newton của [tex]\left ( \frac{nx^2}{14}-\frac{1}{x} \right )^n,x\neq 0.[/tex]

B. Theo chương trình nâng cao
Câu 7.b (1,0 điểm). Trong mặt phẳng với hệ tọa độ [tex]Oxy[/tex], đường tròn [tex]\left( C \right) :x^2+y^2=8[/tex]. Viết phương trình chính tắc của elip [tex](E)[/tex], biết rằng [tex](E)[/tex] có độ dài trục lớn bằng [tex]8[/tex] và [tex](E)[/tex] cắt [tex]\left( C \right)[/tex] tại bốn điểm tạo thành bốn đỉnh của một hình vuông.

Câu 8.b (1,0 điểm) Trong không gian với hệ tọa độ [tex]Oxyz[/tex], cho đường thẳng [tex]d:\frac{x+1}{2}=\frac{y}{1}=\frac{z-2}{1}[/tex],  mặt phẳng [tex](P) :x+y-2z+5=0[/tex] và [tex]A(1;-1;2)[/tex]. Viết phương trình đường thẳng [tex]\Delta[/tex] cắt [tex]d[/tex] và [tex](P)[/tex] lần lượt tại [tex]M[/tex] và [tex]N[/tex] sao cho [tex]A[/tex] là trung điểm [tex]MN.[/tex]

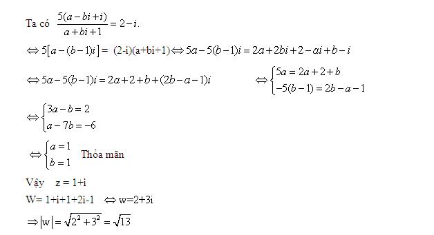
Câu 9.b (1,0 điểm). Cho số phức [tex]z[/tex] thỏa mãn [tex]\frac{5(\overline{z}+i)}{z+1}=2-i[/tex]. Tính mô-đun của số phức [tex]w=1+z+z^2[/tex].
------HẾT------
Thí sinh không được sử dụng tài liệu. Cán bộ coi thi không giải thích gì thêm.
__________________________________________________________________________________________________________________________
GỢI Ý ĐÁP ÁN.

Đáp án trực tiếp từ Vnmath.













Diễn đàn Onluyentoan.vn

Gia sư trực tuyến Viện Nam.

Diễn đàn Mathscope.org

Một số nhận định và bình luận
Cô Nguyễn Thị Hải Diệp, GV Trường THPT Nguyễn Hữu Huân, TP.HCM nhận định: Đề phân hóa trình độ thí sinh. Câu tích phân, lượng giác dễ. Ở câu hình không gian, thí sinh nào học khá phần hình không gian mới có thể làm được.

 Hầu hết thí sinh không làm được câu 6, câu này dành cho những thí sinh rất giỏi. Nhiều thí sinh sẽ “chết” ở câu 9a (phần đề riêng dành cho thí sinh theo chương trình chuẩn). Mọi năm, ở câu này đề thường ra phần số phức, năm nay ra phần nhị thức Newton, nằm trong chương trình lớp 11. Nhiều thí sinh không ôn chương trình 11 sẽ không làm được.

 Đề có câu rơi vào phần thí sinh không ôn nên nhiều em không làm được. Đa số thí sinh làm được những câu dễ. Nhiều thí sinh cố gắng làm những câu khó chờ hết giờ nhưng không có nhiều bài hoàn chỉnh.

 Nhìn chung, thí sinh học lực trung bình có thể đạt 3-4 điểm đề này. HS khá có thể đạt 5-7 điểm. Với đề này, học sinh phổ thông học tốt nếu không ôn rèn nhiêu dạng bài tập cũng chỉ đạt khoảng 5-6 điểm.

 Nhận xét chung về đề thi, thầy Trần Mạnh Tùng, giáo viên môn Toán Trường THPT Lương Thế Vinh - Hà Nội cho biết, đề không có sai sót, nằm hoàn toàn trong chương trình phổ thông, đúng cấu trúc của Bộ, không đánh đố. Nội dung dàn trải tốt các kiến thức phổ thông, phân loại thí sinh rất tốt (như câu hệ phương trình, câu tìm giá trị nhỏ nhất, câu khoảng cách). Đề khá dài, nhiều tính toán cồng kềnh (câu hàm số, hệ phương trình, phần hình giải tích).
Mức độ khó tương đương đề khối A năm 2012, có khoảng 3 – 4 ý phân hóa. Tuy nhiên, đề lạ hơn năm 2011: Đồng thời có phần khai triển Newton và phần Elip. Đề cũng gây bất ngờ vì phần Nâng cao lại dễ làm và quen hơn phần Chuẩn. Phần Chuẩn có thể phải sử dụng kiến thức của phần nâng cao (nếu không thì sẽ dài hơn, phức tạp hơn).
Cụ thể:
Câu 1:
 a) Khảo sát hàm số trùng phương quen thuộc

 b) Câu hỏi về cực trị cũng cơ bản song tính toán hơi nhiều. Đa phần học sinh đã làm dạng này rồi.

Câu 2: Giải phương trình lượng giác khá đơn giản. Học sinh chỉ cần dùng công thức nhân đôi và giải phương trình lượng giác cơ bản là xong. Câu này dễ hơn năm ngoái.

Câu 3: Giải hệ phương trình: Học sinh có thể làm bằng phương pháp thế, đưa về phương trình 1 ẩn. Câu này tương đương năm ngoái, song cũng khá khó, cũng là câu phân hóa. Học sinh không tinh mắt, không được rèn luyện tốt sẽ bỏ hoàn toàn.

Câu 4: Câu tính tích phân theo phương pháp từng phần. Câu này cơ bản, quen, nhiều học sinh sẽ làm được. Dạng bài giống với đề khối D hàng năm.

Câu 5: Nửa đầu thì cơ bản: tính thể tích khối chóp, song cũng phải có các kiến thức về góc, khoảng cách khá vững mới làm tốt được. Nửa sau thì khó hơn: Tính khoảng cách giữa 2 đường thẳng chéo nhau. Ý này coi như để phân hóa. Học sinh vững lý thuyết hoặc chuyển sang tọa độ mới có thể làm được.

Câu 6a: Câu phân hóa khó nhất của đề, là câu max, min của biểu thức đối xứng. Dành cho các học sinh có sức sáng tạo cao. Sẽ rất ít học sinh làm được câu này.

Câu 7a: Câu này khá khó với học sinh, đề đơn giản nhưng khó tìm manh mối, lời giải. Cần phải vẽ hình và dựa vào tính chất của hình vuông để làm hoặc dùng phương pháp đại số (hệ số góc). Nhiều học sinh vì không làm được câu này sẽ chuyển sang phần Nâng cao.

Câu 8a: Câu này thì quen hơn song cũng cần có kiến thức vững về quan hệ của mặt cầu và đường thẳng mới làm được.

Câu 9a: Là câu gây bất ngờ nhất cho học sinh, rất ít học sinh ôn tập phần này kĩ. Đề thi từ 2009 đến nay chưa có phần khai triển Newton. Đây là điểm rất đáng tiếc cho thí sinh ôn thi không đầy đủ, không bám sát cấu trúc mà chỉ nhìn vào đề thi những năm trước.

Câu 7b: Elip cũng là phần gây chút bất ngờ cho học sinh, đặc biệt là các học sinh không chịu ôn phần này, song nó còn dễ hơn nhiều so với câu 7a.

Câu 8b: Câu này khá cơ bản và dễ, nó cũng dễ hơn câu 8a tương ứng.

Câu 9b: Đây là dạng quen nhất trong 6 câu của phần riêng. Đa phần học sinh thấy quen và vì thế cũng dễ chọn phần Nâng cao để làm.
 Câu lạc bộ gia sư thủ khoa, đề thi toán không khó như năm trước, hầu hết các câu đều thuộc dạng cơ bản và quen thuộc nên thí sinh sẽ không bất ngờ. Các câu dễ lấy điểm như khảo sát đồ thị, lượng giác và hệ phương trình biến đổi đơn giản, tích phân dạng khá là dễ làm. Câu bất đẳng thức thuộc loại vai trò các ẩn như nhau cũng không khó như các năm trước.

 "Các câu chương trình phân ban như tổ hợp vẫn là dạng bài của những năm trước nên khá là quen thuộc với học sinh. Nhìn chung năm nay phổ điểm môn Toán sẽ cao hơn năm ngoái, có nhiều điểm 9, 10".
 Cô Đỗ Hồng An (giáo viên trường THPT Amsterdam HN) cho biết đề thi năm nay: "Đề tương đối phù hợp với kiến thức cơ bản của học sinh. Kiến thức trong đề được rải đều theo 3 năm học chứ không tập trung riêng vào một năm. Có khoảng 70% là kiến thức lớp 12. Trong đó câu 1, khảo sát hàm số là kiến thức lớp 10. Câu 2 giải phương trình phù hợp với chương trình giảm tải của bộ Giáo dục. Câu 4 tích phân cũng tường đối vừa phải, chỉ cần nắm chắc kiến thức cơ bản là đã có thể làm được. Trong phần chung cho các thí sinh (7 điểm) chỉ có câu 6 là câu bất đẳng thức hơi khó. Nhận xét chung, đề năm nay tương đối cơ bản. Tuy đề thi không dễ hơn so với năm ngoái nhưng độ phức tạp trong tính toán thì đơn giản hơn". Cô cũng cho biết với đề này, học sinh không khó khăn để đạt điểm. Tuy nhiên có một lưu ý là bài làm phải được trình bày cẩn thẩn, đạt đúng chuẩn về các bước tính toán. Nếu làm tắt hay bỏ qua các bước, các em sẽ bị mất điểm.
« Sửa lần cuối: 05:35:51 pm Ngày 05 Tháng Bảy, 2012 gửi bởi Alexman113 »

Logged

KK09XI ~ Nothing fails like succcess ~
Alexman113
Lão làng
*****

Nhận xét: +26/-9
Cảm ơn
-Đã cảm ơn: 229
-Được cảm ơn: 270

Offline Offline

Bài viết: 551


KK09XI


Email
« Trả lời #10 vào lúc: 12:49:34 pm Ngày 22 Tháng Bảy, 2012 »

TÀI LIỆU ĐỀ THI VÀ ĐÁP ÁN CHI TIẾT THI THỬ MÔN TOÁN SƯU TẦM
[TEX]\bullet[/TEX] Chuyên quốc học Huế Khối A, D 2012.
[tex]\bullet[/tex] Chuyên Phan Bội Châu Nghệ An 2012.
[tex]\bullet[/tex] Đề thi thử hay của VnMath.
[tex]\bullet[/tex] Đề thi thử đại học HỒng Đức 2011.
[tex]\bullet[/tex] Đề thi thử chuyên HN-AMS khối A.
[tex]\bullet[/tex] Thi thử Toán Thuận Thành 1 BN 2012 lần 1.
[tex]\bullet[/tex] Đề thi thử đại học thầy Lê Mạnh Hùng_Quảng Xương I Số 1.
[tex]\bullet[/tex] Đề thi thử đại học thầy Lê Mạnh Hùng_Quảng Xương I Số 2.
[tex]\bullet[/tex] Đề thi thử đại học thầy Lê Mạnh Hùng_Quảng Xương I Số 3.
[tex]\bullet[/tex] Đề thi và đáp án chi tiết chuyên Nguyễn Huệ 2012.
[tex]\bullet[/tex] Đề thi và đáp án chi tiết chuyên Lý Tự Trọng 2012.
« Sửa lần cuối: 01:10:05 pm Ngày 26 Tháng Bảy, 2012 gửi bởi Alexman113 »

Logged

KK09XI ~ Nothing fails like succcess ~
Điền Quang
Administrator
Lão làng
*****

Nhận xét: +125/-8
Cảm ơn
-Đã cảm ơn: 185
-Được cảm ơn: 2994

Offline Offline

Giới tính: Nam
Bài viết: 2742


Giáo viên Vật Lý


Email
« Trả lời #11 vào lúc: 10:10:22 am Ngày 01 Tháng Giêng, 2013 »

ĐỀ THI THỬ ĐẠI HỌC MÔN TOÁN - 2013


« Sửa lần cuối: 10:12:09 am Ngày 01 Tháng Giêng, 2013 gửi bởi Điền Quang »

Logged

Giang đầu vị thị phong ba ác,
Biệt hữu nhân gian hành lộ nan.
Alexman113
Lão làng
*****

Nhận xét: +26/-9
Cảm ơn
-Đã cảm ơn: 229
-Được cảm ơn: 270

Offline Offline

Bài viết: 551


KK09XI


Email
« Trả lời #12 vào lúc: 12:35:52 pm Ngày 01 Tháng Giêng, 2013 »

Đề thi thử tốt nghiệp môn Toán năm 2013

Kỳ thi tốt nghiệp THPT đang đến gần với các bạn lớp 12.Các bạn đã ôn tập kỹ những kiến thức để có kết quả cao trong kỳ thi chưa? Môn Toán là môn qua trọng nhất trong kỳ thì,môn toán cũng có khối lượng kiến thức khá lớn chính vì vậy các bạn phải tập chung ôn tập thật tốt.

Mình đã tổng hợp một số bộ đề thi thử tốt nghiệp 2013 của môn Toán mới nhất năm 2013 các bạn tham khảo qua nhé.Chúc các bạn thi đạt kết quả cao!








Còn rất nhiều bộ đề khác tại đây:
« Sửa lần cuối: 01:10:45 pm Ngày 17 Tháng Tư, 2013 gửi bởi Alexman113 »

Logged

KK09XI ~ Nothing fails like succcess ~
Alexman113
Lão làng
*****

Nhận xét: +26/-9
Cảm ơn
-Đã cảm ơn: 229
-Được cảm ơn: 270

Offline Offline

Bài viết: 551


KK09XI


Email
« Trả lời #13 vào lúc: 01:12:01 pm Ngày 17 Tháng Tư, 2013 »



[tex]\fbox{UPDATING...}[/TEX]


Logged

KK09XI ~ Nothing fails like succcess ~
thientamgroup
Thành viên mới
*

Nhận xét: +0/-0
Cảm ơn
-Đã cảm ơn: 0
-Được cảm ơn: 0

Offline Offline

Bài viết: 6


WWW Email
« Trả lời #14 vào lúc: 02:37:00 pm Ngày 16 Tháng Hai, 2019 »

Đề thi thử 2019 môn Lý trường THPT Chuyên KHTN – Hà Nội
File bao gồm đầy đủ lời giải chi tiết:


Logged

Tags:
Trang: 1   Lên
  In  


 
Chuyển tới:  

© 2006 Thư Viện Vật Lý.